PRAKTIKUM ALGORITMA & PEMROGRAMAN PERTEMUAN KEENAM
Dalam pemrograman, fungsi sering digunakan untuk membungkus program menjadi bagian-bagian kecil. Logika program yang ada di dalam fungsi dapat kita gunakan kembali dengan memanggilnya, sehingga tidak perlu menulis ulang.
Fungsi adalah sub-program yang bisa digunakan kembali baik di dalam program itu sendiri, maupun di program yang lain. Contoh fungsi yang sering kita buat adalah fungsi main ( ). Fungsi ini memang wajib ada di setiap program C karena akan dieksekusi pertama kali. Selain itu kita dapat membuat sebuah fungsi sendiri, berikut caranya :
Fungsi pada bahasa pemrograman C dapat kita buat dengan cara seperti ini :
int nama_fungsi (int parameter) {
//Isi fungsi / kode program
}
Fungsi biasanya akan mengembalikan sebuah nilai dari hasil prosesnya. Karena itu, kita harus menentukan tipe data untuk nilai yang akan dikembalikan. Apabila fungsi tersebut tidak memiliki nilai kembalian, maka kita harus menggunakan tipe void untuk menyatakan kalau fungsi tersebut tidak akan mengembalikan nilai apa-apa.
TUGAS 1
Buatlah fungsi kabisat() yang akan memberikan nilai balik 1 bila tahun adalah kabisat, dan 0 bila tahun bukan kabisat.
TUGAS 2
Buatlah fungsi factorial() untuk menghitung nilai faktorial, Fungsi faktorial () memberikan nilai balik bertipe long int yang akan dicetak ke layar dalam fungsi main().
TUGAS 3
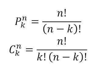
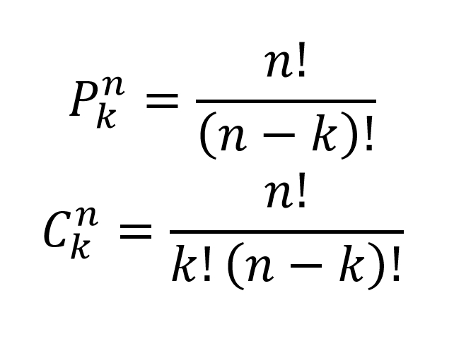
Buatlah suayu fungsi permutasi () dan kombinasi () untuk menghitung permutasi dan kombinasi dari suatu pasangan bilangan yang dinayatakn dengan formula :
Fungsi Kombinasi
Fungsi Permutasi
TUGAS 4
Buatlah fungsi float suhu (s, d), untuk mengkonversi suhu. Dimana s adalah suhu sumber, d adalah suatu konversi, dan suhu () adalah hasil konversi suhu.
TUGAS 5
Buatlah fungsi prima () yang memebrikan nilai balik 1 bila bilangan yang dimasukkan adalah prima dan 0 bila bukan bilangan prima.
TUGAS 6
Buatlah program menggunakan dua variable, satu bertipe register dan lainnya bertipe integer, kemudian buatlah dua perulanagan menggunakan statement for(), untuk membandingkan waktu yang diperlukan untuk masing – masing tipe variable. Gunakan fungsi gettime() untuk menghitung waktu yang diperlukan oleh masing – masing perulangan.









Recent Comments